Quiero compartir con los aficionados a los temas de Seguridad Informática, un reto que han creado mis colegas de If-Security y que está premiado con una entrada para el «IX edición del Congreso de Seguridad Informática No cON Name» que es uno de los más importantes congresos europeos y esta edición 2012 se celebrará los próximos 2 y 3 de Noviembre en Barcelona (CosmoCaixa).
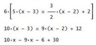
El reto consiste en averiguar el resultado de una imagen que representa un sistema de ecuaciones y como premio se concede una entrada al congreso de la No cON Name.
Para aquellos intrépidos que lo quieran intentar, por favor, remitirse a la página original del reto.
El reto: www.if-security.com/blog-de-noticias/76-reto-if-security
Sólo me resta decir que las ecuaciones se pueden resolver por medio de cálculos numéricos o bien por medio de representaciones gráficas y, por favor, no perdáis de vista que se trata de un reto de seguridad. ! Ánimo ! ! La gracia consiste en intentarlo !


